Seksyen 16 Akta Perhutanan Negara 1984 memberi kuasa kepada Pihak Berkuasa Kerajaan Negeri untuk membenarkan pengambilan hasil hutan dari Hutan Simpanan Kekal dan Tanah Kerajaan dengan cara lesen atau lesen kecil melalui 3 cara- selepas ia menyebabkan supaya dipelawa tender-tender mengenainya. BAHAGIAN PEMAJUAN PERUMAHAN SWASTA.
Vip Langgar Pkp Tidak Terlepas Tindakan Undang Undang Kata Menteri Free Malaysia Today Dubai Khalifa
PERLESENAN BILANGAN UNIT RUMAH YANG DILULUSKAN MENGIKUT KATEGORI HARGA BILANGAN UNIT RUMAH YANG DILULUSKAN MENGIKUT KATEGORI JENIS RUMAH TAHUN 2017.

Jabatan perumahan negara bahagian perlesenan. 603 - 8891 32883289. جابتن ڤرومهن نڬارا merupakan jabatan kerajaan di bawah Kementerian Perumahan dan Kerajaan Tempatan Malaysia. 03-9171 025891710260 faks03-91710257 bimbit.
51 Persiaran Perdana Pusat Pentadbiran Kerajaan Persekutuan Presint. Bhg Bahagian Pelesenan Pemajuan Perumahan Latar Belakang Memastikan hanya pemaju-pemaju perumahan yang berkelayakan dan berkemampuan sahaja melibatkan diri dalam sektor perumahan di Semenanjung Malaysia bagi menjamin kepentingan pembeli rumah. Lapangan Terbang Lama.
Jabatan Perumahan Negara Kementerian Perumahan dan Kerajaan Tempatan Aras 30-38 No. Kementerian Sains Teknologi dan Inovasi MOSTI. Bahagian Perlesenan dan Penguatkuasaan.
JABATAN PERUMAHAN NEGARA Kementerian Perumahan dan Kerajaan Tempatan Aras 30-38 No. Pengarah Bahagian Pelesenan Pemajuan Perumahan Jabatan Perumahan Negara Kementerian Kesejahteraan Bandar Perumahan dan Kerajaan Tempatan Aras 31 No51 Persiaran Perdana Presint 4 Pusat Pentadbiran Kerajaan Persekutuan 62100 Putrajaya MALAYSIA Tel. Jabatan Perumahan Negara Kementerian Perumahan dan Kerajaan Tempatan Aras 30-38 No.
Kelulusan Penubuhan Universiti. Bahagian Pentadbiran dan Kewangan. FUNGSI Bahagian Penguatkuasaan Jabatan Perumahan Negara JPN dibahagikan kepada dua cawangan utama iaitu Cawangan Penguatkuasaan dan Cawangan Pengurusan Aduan.
Jabatan Perumahan Negara Tulisan Jawi. Jabatan Kemajuan Perumahan JKP Kementerian Pembangunan. Kementerian Perumahan dan Kerajaan Tempatan KPKT perumahan permit iklan jualan.
Bahagian Pendaftaran Dan Piawaian Jabatan Pengajian Tinggi MOHE. PERUMAHAN NEGARA KG LUGU FASA 2 NEGARA BRUNEI DARUSSALAM Projek. Pemohon atau pemaju yang telah berdaftar di dalam SPRN masih boleh log masuk ke dalam sistem bagi melihat status permohonan status tuntutan bayaran sahaja.
Menjadi organisasi yang cemerlang dalam melaksanakan dan mengawal selia perumahan yang mampan dan mesra alam ke arah kehidupan berkualiti tinggi. Tuntutan bayaran yang diterima oleh Jabatan ini sebelum 17 November 2020 Selasa sahaja yang akan diproses. 603 - 8891 4121.
Lain-lain syarat dan keperluan hendaklah dirujuk didalam Building Control Order 2014 yang boleh didapati di Jabatan Percetakan Kerajaan dan Buku Prosedur Pendaftaran Kontraktor dan Pembekal Edisi 2020 di Autoriti Kawalan Bangunan dan Industri Pembinaan. 21 jalan dwi tasik 1 bandar seri permaisuri 56000 cheras kuala lumpur. Bahagian Pelesenan Pemajuan Perumahan.
Bahagian Kemajuan dan Pembangunan Daerah. Memastikan pemaju perumahan mematuhi Akta Pemajuan Perumahan Kawalan dan Perlesenan1966 AKTA 118 dan Peraturan-Peraturan. Permit Iklan Jualan.
Jabatan perlindungan hidupan liar dan taman negara wilayah persekutuan no. Kemaskan pautan lapukformatkan bahagian rujukan dan nota kaki menggunakan templat petikan di mana sesuai. JKP 09 2019 Dokumen-dokumen sebutharga dan Lukisan-lukisan boleh dilihat dan didapati di Jabatan Kemajuan Perumahan Bahagian Perancangan Projek Tingkat 4 Bangunan Jabatan Kemajuan Perumahan Negara Brunei Darussalam sehingga jam 300 petang hari Sabtu 28hb.
Negara Brunei Darussalam. 51 Persiaran Perdana Presint 4 62100 Putrajaya. Bahagian Pemantauan Perumahan Swasta.
30 Januari 2021 Sabtu - Majlis penandatanganan kontrak bagi projek Rancangan Perumahan Negara Kampong Lugu Fasa 2 telah diadakan di Dewan Betabur Kementerian Pembangunan diantara Jabatan Kemajuan Perumahan Kementerian Pembangunan dengan kontraktor yang dilantik Swee Sendirian Berhad. 03 - 8000 8000. 4247263 Cawangan Daerah Belait.
Pengarah jabatan perhilitan negeri perlis persiaran wawasan 01000 kangar perlis. Jabatan Perumahan Negara JPN. Simpang 363-29 Jalan Pandan 7.
Jabatan Perumahan Negara KPKT. 51 Persiaran Perdana Pusat Pentadbiran Kerajaan Persekutuan Presint 4 62100 Putrajaya. Bahagian Institusi Mukim dan Kampung.
Jabatan Perumahan Negara Aras 30-38 No 51 Persiaran Perdana Presint 4 Pusat Pentadbiran Kerajaan Persekutuan 62100 Putrajaya. Bahagian Perhubungan Awam Teknologi Maklumat dan Penyelidikan. Bahagian Pelesenan Pemajuan Perumahan Jabatan Perumahan Negara Kementerian Perumahan Kerajaan Tempatan Aras 31 No51 Persiaran Perdana Presint 4 Pusat Pentadbiran Kerajaan Persekutuan 62100 Putrajaya MALAYSIA Tel.
Jabatan Perumahan Negara JPN. 03-8891 4200 TEDUH merupakan inisiatif kerajaan melalui Jabatan Perumahan Negara Kementerian Perumahan dan Kerajaan Tempatan dalam menyediakan saluran rasmi bagi maklumat perumahan kepada rakyat agensi kerajaan badan berkanun dan pemaju swasta.
Bungaazrul Agency Postingan Facebook
Kementerian Komunikasi Dan Multimedia Malaysia Kkmm Postingan Facebook
Manual Pengguna Sistem Edici Negeri Pdf Download Gratis
Permohonan Untuk Persewaan Perumahan Umum
Application For Extension Of Time Eot To The Ministry Of Housing And Local Government Kpkt Due To The Movement Control Order Mco Government Information Government
Cara Ke Industrial Relations Dept Jabatan Perhubungan Perusahaan Di Sepang Menggunakan Bis Atau Kereta Moovit
National Housing Policy Ministry Of Housing And Local Government
Https Kemlu Go Id Download L1noyxjlzcuymervy3vtzw50cy8wmsuymetptlrsquslmjblrvjkqsuymezpuk1btcuymdazlnbkzg
Pejabat Setiausaha Kerajaan Suk Negeri Kelantan Kompleks Kota Darul Naim
Notis Pemakluman Taman Taman Awam Kota Kinabalu Semasa Pkp Kota Kinabalu Kota
Senarai Lampiran Baharu Bagi Dokumen Lembaga Pembiayaan Perumahan Sektor Awam Lppsa Facebook
Contoh Surat Sokongan Bantuan Zakat
Perunding Pinjaman Peribadi Anda Pinjaman Peribadi Daripada Public Islamic Bank
Kepenggunaan Definisi Satu Gerakan Yang Tersusun Yang Merangkumi Orang Ramai Dan Agensi Kerajaan Yang Memperjuangkan Hak Hak Dan Kuasa Pengguna Ppt Download
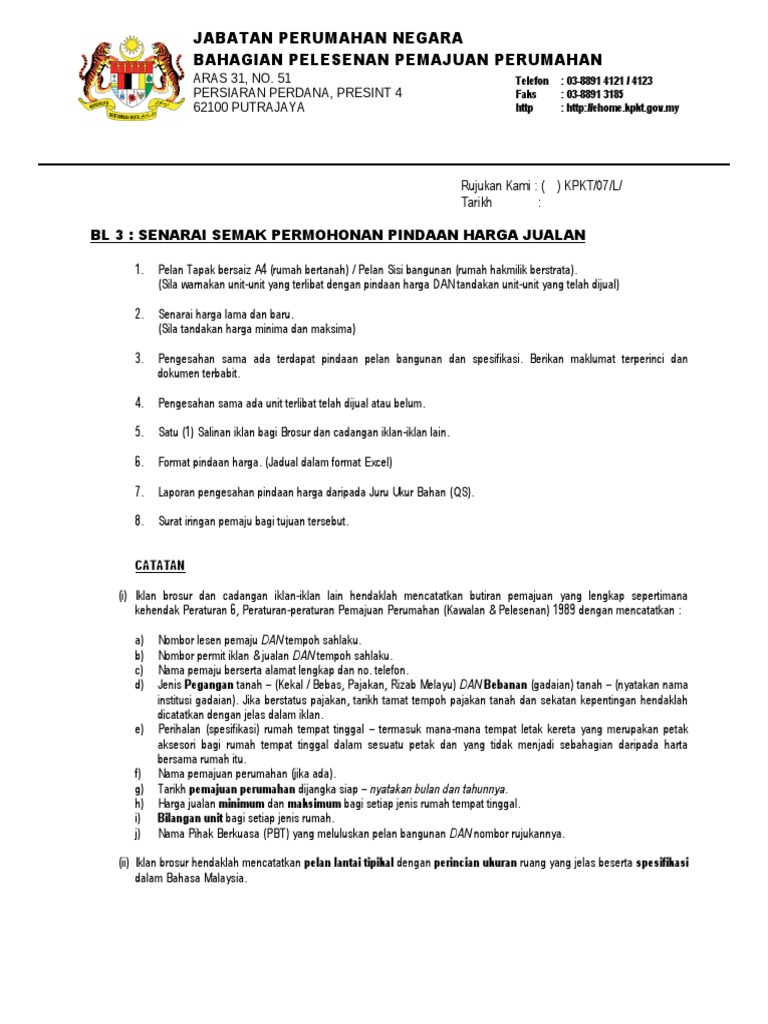
Jabatan Perumahan Negara Bahagian Pelesenan Pemajuan Perumahan
Laporan Ketua Audit Negara Negeri Johor Tahun 2004 Jabatan Audit Negara Malaysia Pdf Download Gratis
Surat Peringatan 31 Dlm Kpkt 08 824 Am Ps Pk 12 Oktober
Rumah Idaman Kelantan Postingan Facebook
